Ответы
Ответ дал:
0
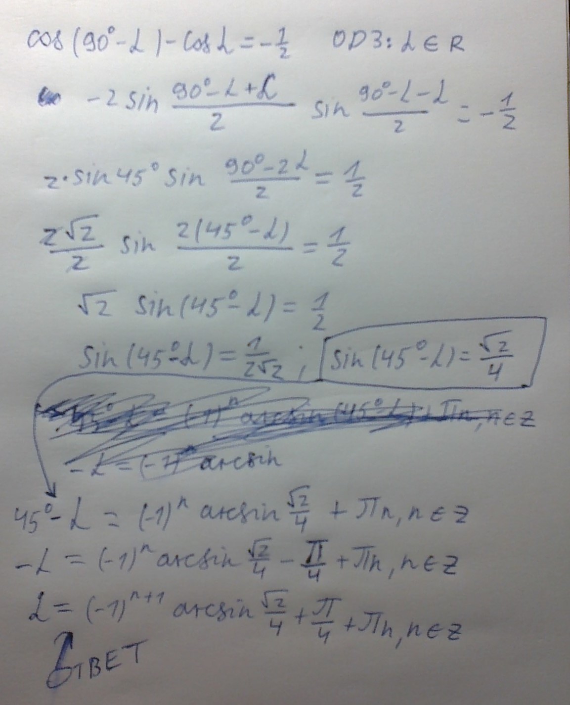
Арксинус не получится целым числом, но вроде все правильно (надеюсь)
Приложения:

Ответ дал:
0
Спасибо огроменнейшее!!!
Вас заинтересует
2 года назад
2 года назад
7 лет назад
9 лет назад
10 лет назад