• Предмет: Алгебра
  • Автор: 159753qwe
  • Вопрос задан 9 лет назад

помогите решить пожалуйста уравнение!!!

Приложения:

Ответы

Ответ дал: mb17x
0
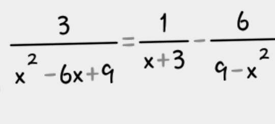
frac{3}{x^{2}-6x+9}= frac{1}{x+3} - frac{6}{9-x^{2}}  \  
frac{3}{(x-3)^{2}}= frac{1}{x+3} + frac{6}{x^{2}-9} \ 
frac{3}{(x-3)^{2}}= frac{1}{x+3} + frac{6}{(x-3)(x+3)} \ 
3(x+3)=(x-3)^{2}+6(x-3) \ 3x+9=x^{2}-6x+9+6x-18 \ x^{2}-3x-18=0 \ 
x_{1}= frac{3+ sqrt{9+4*18} }{2} = frac{3+ sqrt{81} }{2} = frac{3+9}{2} =6 \ 
x_{2}= frac{3- sqrt{9+72} }{2} = frac{3-sqrt{81} }{2} = frac{3-9}{2} =-3
Ответ: х₁=6, х₂= - 3.
Вас заинтересует