• Предмет: Алгебра
  • Автор: KingJulian
  • Вопрос задан 9 лет назад

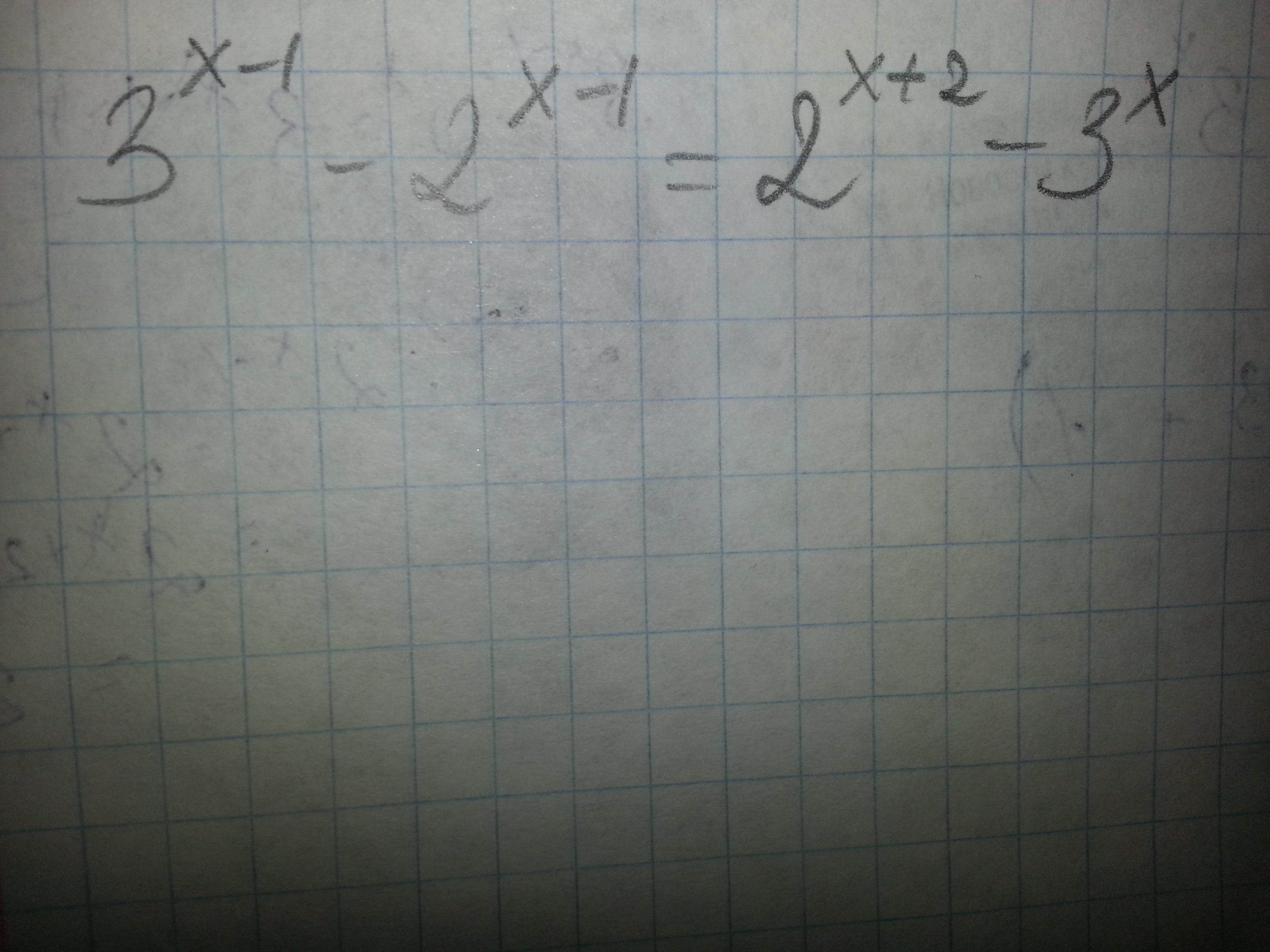
помогите решить показательное уравнение

Приложения:

Ответы

Ответ дал: Sanyasha
0
3^{x-1}-2^{x-1}=2^{x+2}-3^x \  1- frac{2}{3}^{x-1}= frac{2^{x+2}}{3^{x-1}}  -3 \ 4=frac{2^{x+2}}{3^{x-1}}+frac{2^{x-1}}{3^{x-1}} \ 2^2=frac{2^{x+2}+2^{x-1}}{3^{x-1}} \ 2^2=frac{2^{x-1}(2^3+1)}{3^{x-1}} \ 2^2= frac{2^{x-1}}{3^{x-1}}*3^2 \   frac{2}{3}^2=frac{2}{3} ^{x-1} \ 2=x-1 \ x=3
Вас заинтересует