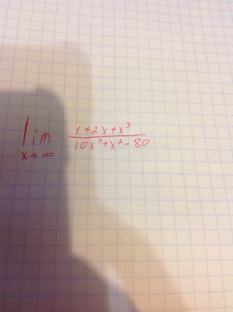
lim (x стремится к бесконечности) 1+2x+x^3/10x^3+x^2-80
На фото тот же пример,поэтому,если не понятно, смотрите фото.
Приложения:

Ответы
Ответ дал:
0
=lim((x^3)(1+2/x^2+1/x^3)/
((x^3)(10+1/x-80/x^3))=
Lim(1+2/x^2+1/x^3)/(10+1/x-80/x^2)=
(1+0+0)/(10+0-0)=1/10
((x^3)(10+1/x-80/x^3))=
Lim(1+2/x^2+1/x^3)/(10+1/x-80/x^2)=
(1+0+0)/(10+0-0)=1/10
Приложения:

Ответ дал:
0
А что непонятно?
Ответ дал:
0
Все, честно говоря:D Не сильна я в математике
Ответ дал:
0
:) Тогда погоди.
Ответ дал:
0
Спасибо,жду)
Ответ дал:
0
Готово
Вас заинтересует
2 года назад
2 года назад
7 лет назад
7 лет назад
9 лет назад
9 лет назад
10 лет назад