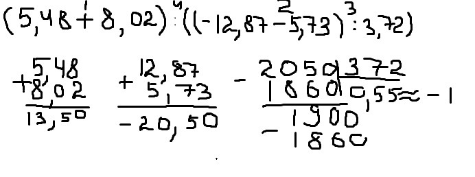
(5,48+8,02):()-12,87-5,73):3,72)
Решите пожалуйста столбиком,на листке и сфоткайте,люблю вас❤️❤️
Ответы
Ответ дал:
0
Смотри. Я разделила на 4 действия. Для начала делаем всё,что в скобках и всё,что делится или умножается. Ну, 1 действие я обозначила-это сложение. В итоге получается 13,5, так как ноль мы убираем всегда,если он на окончание и после него нет никаких чисел. Если будет на конце 2 нуля , то убираем два. Второе действие это вычитание отрицательных чисел. Если два минуса , то это тоже самое, как сложение, в итоге получаем -20,5, опять же сокращаем. Третье действие деление. Но там число бесконечное, поэтому округляем до -1, так как минус деля на плюс - получаем -. И 4 действие бессмысленно считать столбиком, так как 13,5 деля на -1- получаем -13,5.
Ответ: -13,5
Ответ: -13,5
Приложения:

Вас заинтересует
2 года назад
7 лет назад
7 лет назад