Ответы
Ответ дал:
0
(2)
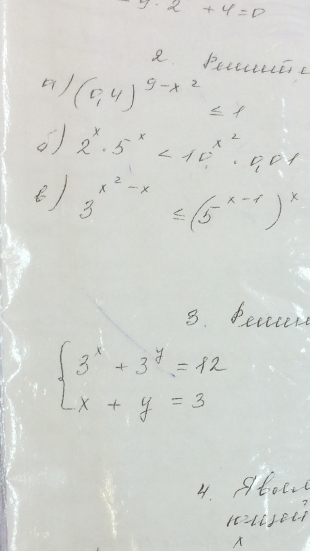
a) (0,4)^(9-x^2) ≤ (0,4)^0, т.к. 0,4<1, то 9-x^2≥0, x^2≤9, x∈[-3;3]
в) 3^(x^2 -x) ≤ 5^(x^2-x), (5/3)^(x^2-x)≥1, x^2-x≥0, x(x-1)≥0,
-∞___+___0___-___1___+___+∞
x∈(-∞;0]∪[1;+∞)
б) 10^x<10^(x^2 -2), x<x^2-2, x^2-x-2>0, (x-2)(x+1)>0
-∞___-1___+___2___+∞
x∈(-∞;-1)∪(2;+∞)
(3)
{3^x + 3^y = 12, x+y=3}, {x=3-y, 3^(3-y) +3^y=12},
27/3^y +3^y=12, замена переменной 3^y=t>0,
27/t +t=12, множим на t... 27+t^2=12t, t^2-12t+27=0,
(t-9)(t-3)=0, t=9, t=3, 3^y=9, 3^y=3, y=2, y=1,
ответ {y=2, x=1}, {y=1, x=2}
a) (0,4)^(9-x^2) ≤ (0,4)^0, т.к. 0,4<1, то 9-x^2≥0, x^2≤9, x∈[-3;3]
в) 3^(x^2 -x) ≤ 5^(x^2-x), (5/3)^(x^2-x)≥1, x^2-x≥0, x(x-1)≥0,
-∞___+___0___-___1___+___+∞
x∈(-∞;0]∪[1;+∞)
б) 10^x<10^(x^2 -2), x<x^2-2, x^2-x-2>0, (x-2)(x+1)>0
-∞___-1___+___2___+∞
x∈(-∞;-1)∪(2;+∞)
(3)
{3^x + 3^y = 12, x+y=3}, {x=3-y, 3^(3-y) +3^y=12},
27/3^y +3^y=12, замена переменной 3^y=t>0,
27/t +t=12, множим на t... 27+t^2=12t, t^2-12t+27=0,
(t-9)(t-3)=0, t=9, t=3, 3^y=9, 3^y=3, y=2, y=1,
ответ {y=2, x=1}, {y=1, x=2}
Вас заинтересует
2 года назад
7 лет назад
10 лет назад
10 лет назад