Ответы
Ответ дал:
0
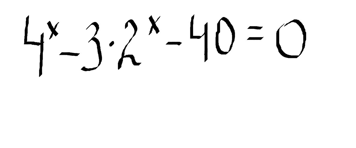
2^(2x) - 3*2^x - 40 = 0
2^x = t > 0
t^2 - 3t - 40 = 0
D = 9 + 160 = 169
t1 = (3-13)/2 = -5 - не подходит
t2 = (3+13)/2 = 8
2^x = 8
2^x = 2^3
x = 3
2^x = t > 0
t^2 - 3t - 40 = 0
D = 9 + 160 = 169
t1 = (3-13)/2 = -5 - не подходит
t2 = (3+13)/2 = 8
2^x = 8
2^x = 2^3
x = 3
Ответ дал:
0
Пусть t=2^x => t>0.
t^2-3t-40=0
D=9+160=169=13^2
t1=(3-13)/2=-5 <0 не подходит
t2=(3+13)/2=8
Обратная замена:
2^x=8
2^x=2^3
x=3
Ответ: 3.
t^2-3t-40=0
D=9+160=169=13^2
t1=(3-13)/2=-5 <0 не подходит
t2=(3+13)/2=8
Обратная замена:
2^x=8
2^x=2^3
x=3
Ответ: 3.
Вас заинтересует
2 года назад
2 года назад
7 лет назад
10 лет назад
10 лет назад
10 лет назад