Ответы
Ответ дал:
0
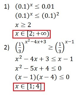
при основе меньше 1 знак неравенства меняется на противоположный
Приложения:

Вас заинтересует
2 года назад
7 лет назад
9 лет назад
9 лет назад
10 лет назад