Ответы
Ответ дал:
0
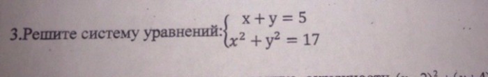
x=5-y
(5-y)²+y²=17
25-10y+y²+y²=17
25-10y+2y²=17
2y²-10y+8=0
a=2; b=10; c=8;
D=b²-4ac
D=100-64=36
√D=6
y=((-b)±√D)/2a
y1=(10+6)/2*2=16/4=4
y2=(10-6)/4=4/4=1
x1=5-4=1
x2=5-1=4
Ответ:(1:4);(4:1);
(5-y)²+y²=17
25-10y+y²+y²=17
25-10y+2y²=17
2y²-10y+8=0
a=2; b=10; c=8;
D=b²-4ac
D=100-64=36
√D=6
y=((-b)±√D)/2a
y1=(10+6)/2*2=16/4=4
y2=(10-6)/4=4/4=1
x1=5-4=1
x2=5-1=4
Ответ:(1:4);(4:1);
Вас заинтересует
2 года назад
2 года назад
7 лет назад
7 лет назад
10 лет назад
10 лет назад