• Предмет: Алгебра
  • Автор: Irynka13
  • Вопрос задан 9 лет назад

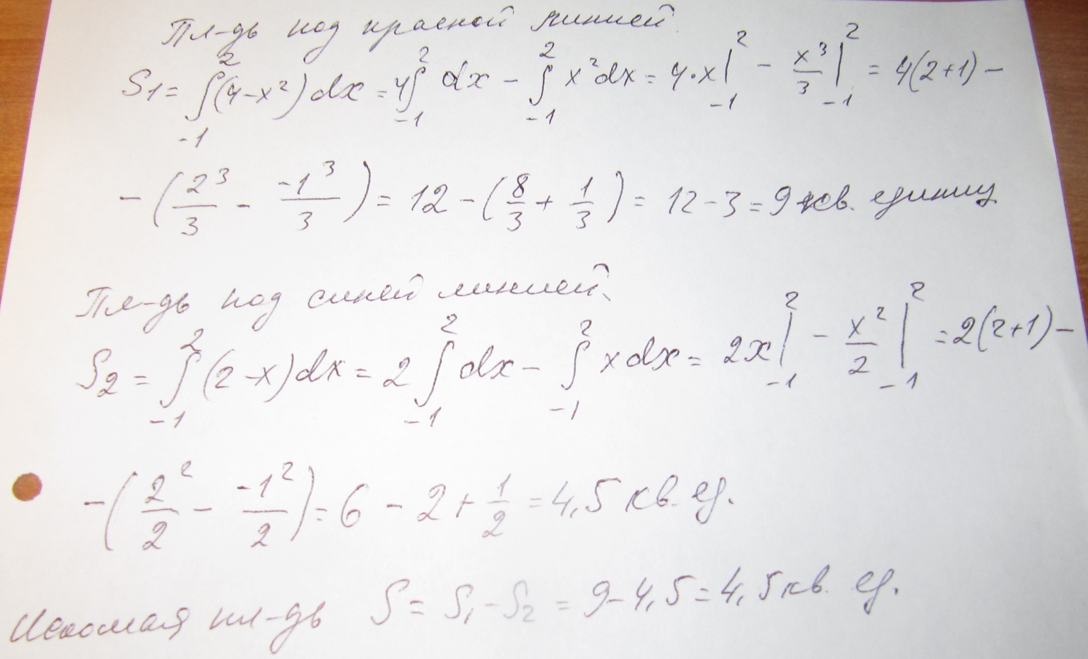
обчислити площу фігури, обмеженої лініями: у=4-х квадрат і у=- х+ 2

Ответы

Ответ дал: Amigo3
0
График и решение в отдельных файлах. Короткое пояснение: вычисленные площади под кривой снизу ограничены осью ОХ (показана на рисунке).
Приложения:
Ответ дал: Amigo3
0
Пишите, если ещё будут вопросы
Вас заинтересует