• Предмет: Алгебра
  • Автор: Zontuk1999
  • Вопрос задан 9 лет назад

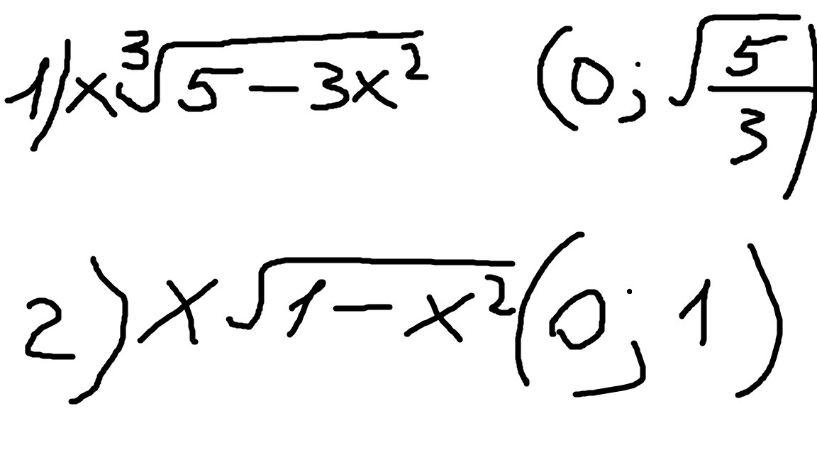
Найти наибольшее значение функции на интервалах.

Приложения:

Ответы

Ответ дал: sedinalana
0
1
(∛(5x³-3x^5))`=(15x²-15x^4)/3(5x³-3x^5)²=0
15x²(1-x)(1+x)=0
x=0  x=1  x=-1
             _                  +                +                  _
---------------(1)--------------(0)----------------(1)----------------
                                         \\\\\\\\\\\\\\\\\\\\\\\
                                         возр                        убыв
наиб  при х=1 равняется ∛2
2
(√(x²-x^4))`=(2x-4x³)/2√(x²-x^4)=0
2x(1-√2x)(1+√2x)=0
x=0  x=1/√2  x=-1/√2
              +                 _                +                                 _
---------------(-1/√2)-----------(0)----------------(1/√2)----------------
                                            \\\\\\\\\\\\\\\\\\\\\\\
                                                возр                        убыв

наиб при х=1/√2 равняется 1/2
Вас заинтересует