Ответы
Ответ дал:
0
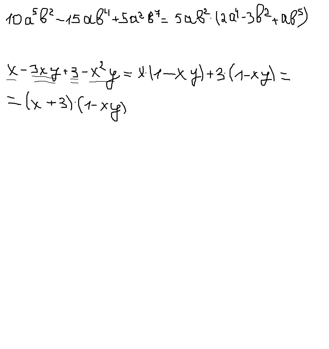
1. 5ab^2(2a^2 -3b^2+ab^5)
2. x - 3xy + 3 - yx^2 = (x+3) - xy(x+3) = (x+3)(1-xy)
2. x - 3xy + 3 - yx^2 = (x+3) - xy(x+3) = (x+3)(1-xy)
Ответ дал:
0
розв'язок на фото внизу
Приложения:

Вас заинтересует
2 года назад
2 года назад
7 лет назад
9 лет назад
9 лет назад
10 лет назад