• Предмет: Физика
  • Автор: red291
  • Вопрос задан 9 лет назад

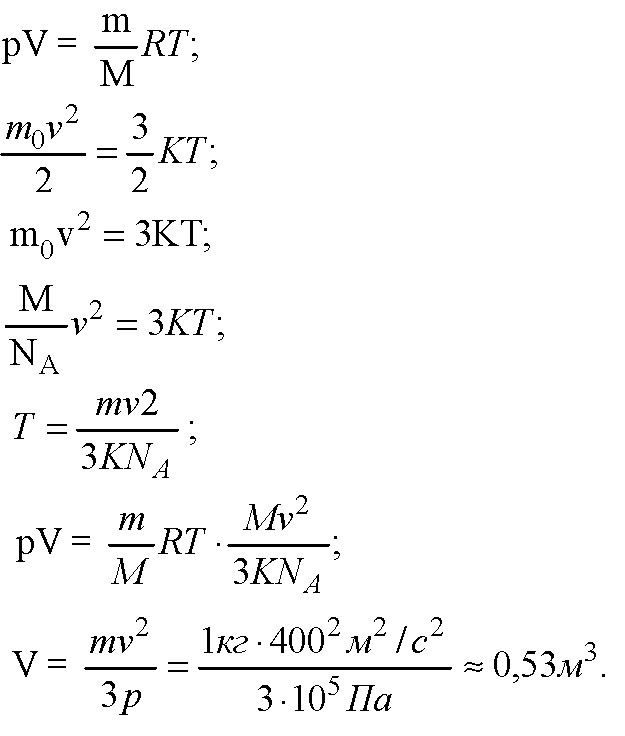
Средняя квадратичная скорость молекул газа около 400м/с. Определить объем, который занимает 1 кг газа при давлении 10(5)Па.

Ответы

Ответ дал: Alexx357
0
V=mv^2/3p = (1кг*400:m^2/c^2)/3*10^5Па +0,53m^3
Приложения:
Ответ дал: red291
0
Спасибо, чувак реально выручил, долго ломал голову как вывести обьем и вот решил может сдесь выручат. На самом деле красава
Вас заинтересует