Ответы
Ответ дал:
0
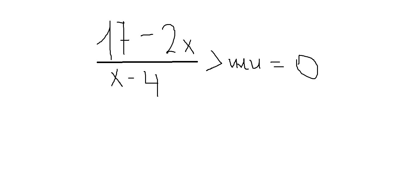
17-2x>=0
x-4>0
-2x>=-17
x>4
x<=17/2
x>4
x<=8.5
x>4
В итоге промежуток будет 4 до 5
Ответ: (4;5]
x-4>0
-2x>=-17
x>4
x<=17/2
x>4
x<=8.5
x>4
В итоге промежуток будет 4 до 5
Ответ: (4;5]
Ответ дал:
0
Решение на фото//////////
Приложения:

Вас заинтересует
2 года назад
7 лет назад
9 лет назад
10 лет назад