• Предмет: Алгебра
  • Автор: masha83521masha835
  • Вопрос задан 9 лет назад

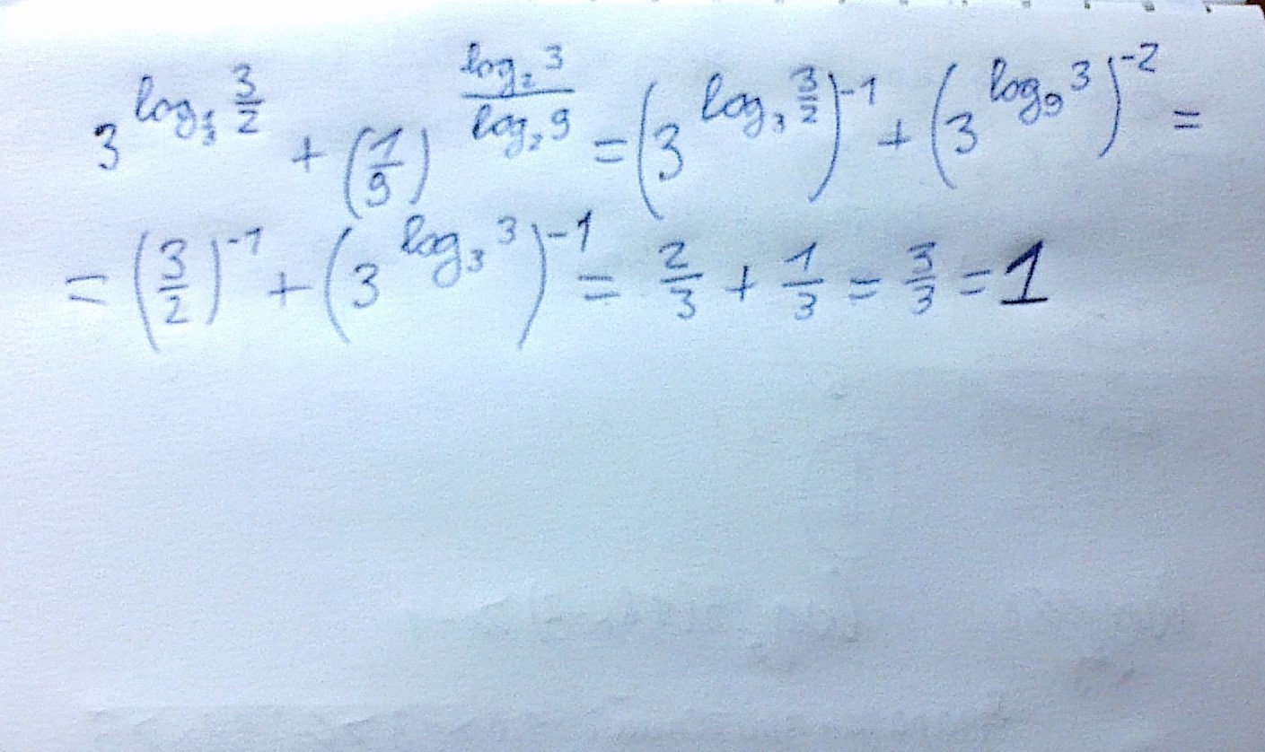
3^log 1/3 3/2 +(1/9)^ log 2 3/ log 2 9
Ну или хотя бы скажите как решить: 3^ log 1/3 3/2

Ответы

Ответ дал: TegeranUA
0
*универсальный удлинитель сообщения*
Приложения:
Ответ дал: masha83521masha835
0
спасибо)
Вас заинтересует