• Предмет: Физика
  • Автор: 13Angel13
  • Вопрос задан 9 лет назад

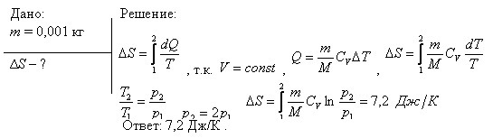
Водород массой м=1г находится при нормальных условиях. При изохорическом нагревании давление Р газа увеличилось в 2раза. Определите изменения энтропии и переданное ему количество теплоты.

Ответы

Ответ дал: zakrevskiy999
0
............................................................................................................................
Приложения:
Ответ дал: 13Angel13
0
а по подробнее можно?)
Вас заинтересует