Упростите выражение
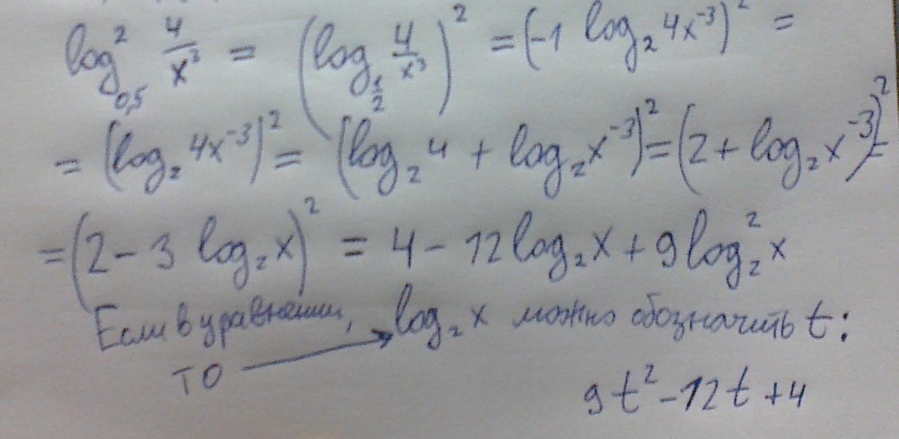
Для нахождения в поисковиках для будущих поколений : log^2 0.5 ( 4 / x^3 )
Приложения:

Ответы
Ответ дал:
0
получилось разве что усложнить
Приложения:




Ответ дал:
0
Постой, оба наших ответа верны, просто у меня основание логарифма 2, а у тебя 0,5, и если вынести степень из основания логарифма в твоем ответе, получится мое выражение, сейчас обновлю ответ
Ответ дал:
0
давай проще на примере решим: log1/2 4=log2 4 что ли?
Ответ дал:
0
да, если выражение под квадратом
Ответ дал:
0
глянь четвертую фотографию
Ответ дал:
0
твое выражение тождественно моему
Ответ дал:
0
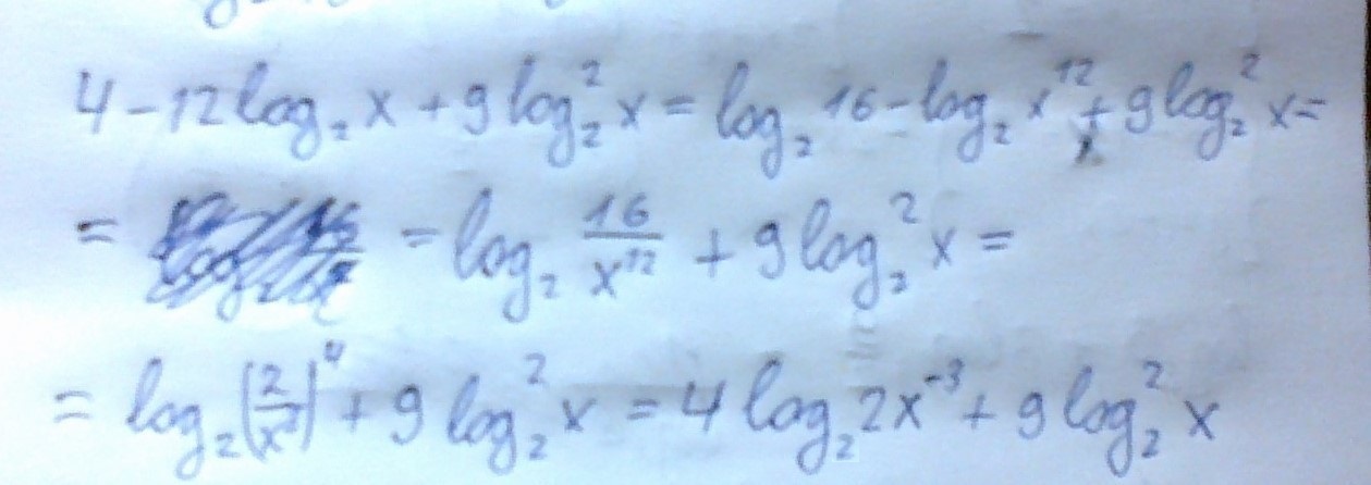
log1/2 (4/x^3)×log1/2 (4/x^3)=(log1/2 4-log1/2 x^3)×(log1/2 4 - log1/2 x^3)=(-2-3log1/2x)(-2-3log1/2x )=4+12log1/2x+9log^2(1/2x)
если заменить log1/2x через У, то получим :
9×У^2+12×У+4. Как вариант)))
если заменить log1/2x через У, то получим :
9×У^2+12×У+4. Как вариант)))
Приложения:




Вас заинтересует
2 года назад
2 года назад
7 лет назад
7 лет назад
9 лет назад
10 лет назад