• Предмет: Алгебра
  • Автор: Hanter203
  • Вопрос задан 9 лет назад

Помогите пожалуйста плиз срочно
Сколько можите

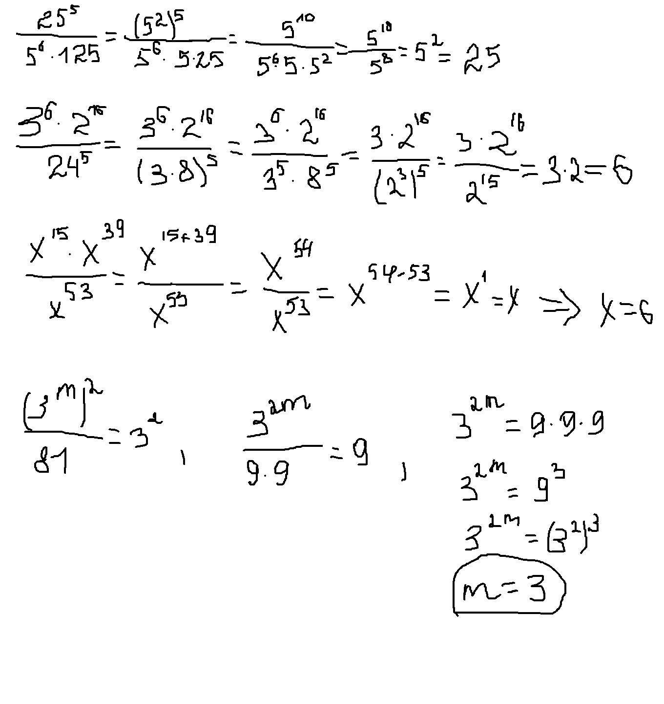
Приложения:

Ответы

Ответ дал: marishkoropar
0
ответ на фото снизу

5^30   <    3^50
Приложения:
Вас заинтересует