Привет! помогите, пожалуйста, с ответом не совпадает.
Масса куба 4,8 кг. Какой станет масса куба при сокращении его ребер в 2 раза.
Ответы
Ответ дал:
0
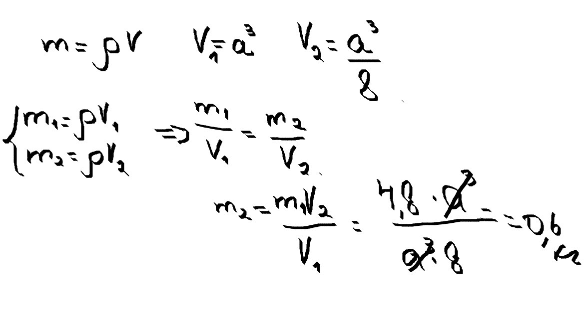
так как m~V V~a^3
значит при уменьшение ребра в 2 раза объем и масса уменьшатся в 8 раз
m2=m1/8=4,8/8=0,6 кг
если уменьшить только боковые ребра у основания куба то объем уменьшится в 4 раза тогда ответ будет 4.8/4=1.2
значит при уменьшение ребра в 2 раза объем и масса уменьшатся в 8 раз
m2=m1/8=4,8/8=0,6 кг
если уменьшить только боковые ребра у основания куба то объем уменьшится в 4 раза тогда ответ будет 4.8/4=1.2
Ответ дал:
0
стало быть в вестнике ошибка? 1,2 там был ответ. Но спасибо
Ответ дал:
0
Ответ: 0,6.
Прикрепляю решение
Прикрепляю решение
Приложения:
Вас заинтересует
2 года назад
2 года назад
7 лет назад
7 лет назад
10 лет назад
10 лет назад