Ответы
Ответ дал:
0
Ответ система : 
d = 23/30
d = 23/30
Приложения:

Ответ дал:
0
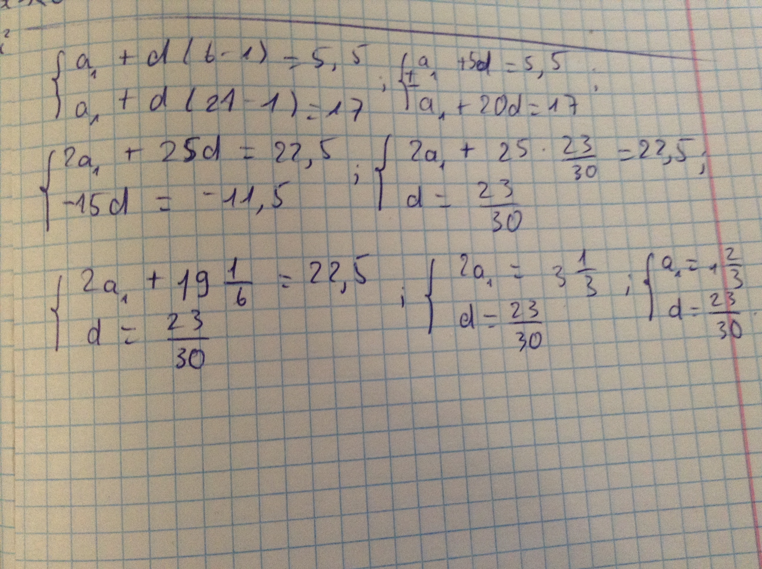
{ a1+5d=5,5
{ a1+20d=17
Вычитаем из 2 уравнения 1 уравнение
15d = 11,5
d = 11,5/15=2,3/3=23/30
a1 = 17-20d = 17-20*23/30 = 17 - 46/3 = 17 - 15 - 1/3 = 2 - 1/3 = 5/3
{ a1+20d=17
Вычитаем из 2 уравнения 1 уравнение
15d = 11,5
d = 11,5/15=2,3/3=23/30
a1 = 17-20d = 17-20*23/30 = 17 - 46/3 = 17 - 15 - 1/3 = 2 - 1/3 = 5/3
Приложения:

Вас заинтересует
2 года назад
2 года назад
7 лет назад
7 лет назад
9 лет назад
10 лет назад