• Предмет: Алгебра
  • Автор: Zontuk1999
  • Вопрос задан 9 лет назад

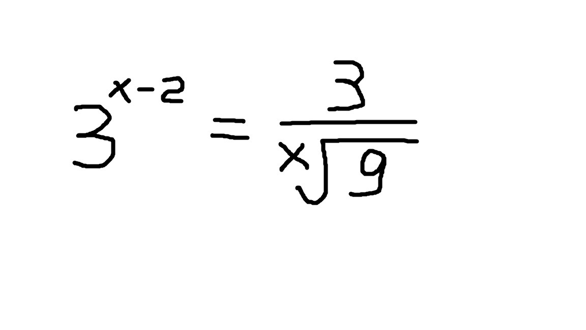
Решить уравнение с полным объяснением (иначе не зачту ответ)

Приложения:

Ответы

Ответ дал: Аноним
0
______________________________
Приложения:
Вас заинтересует