• Предмет: Алгебра
  • Автор: rew9
  • Вопрос задан 9 лет назад

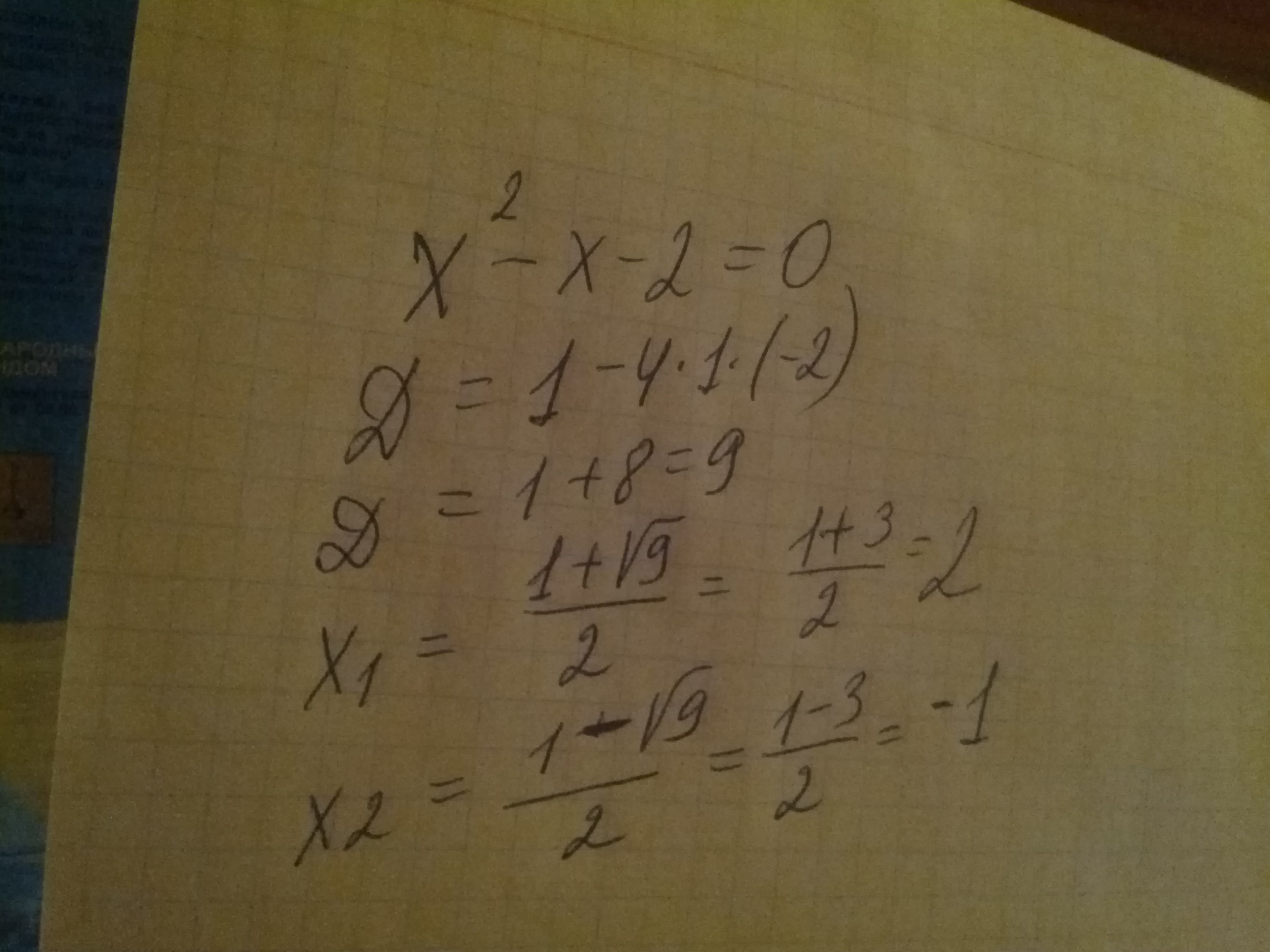
помогите решить это квадратное уравнение срочно нужно завтра

Приложения:

Ответы

Ответ дал: Dимасuk
0
По обратной теореме Виета:
x1 + x2 = 1
x1•x2 = -2

x 1 = -1
x2 = 2

Ответ: х = -1; 2.
Ответ дал: Аноним
0
Смотри фото...............
Приложения:
Вас заинтересует