Ответы
Ответ дал:
0
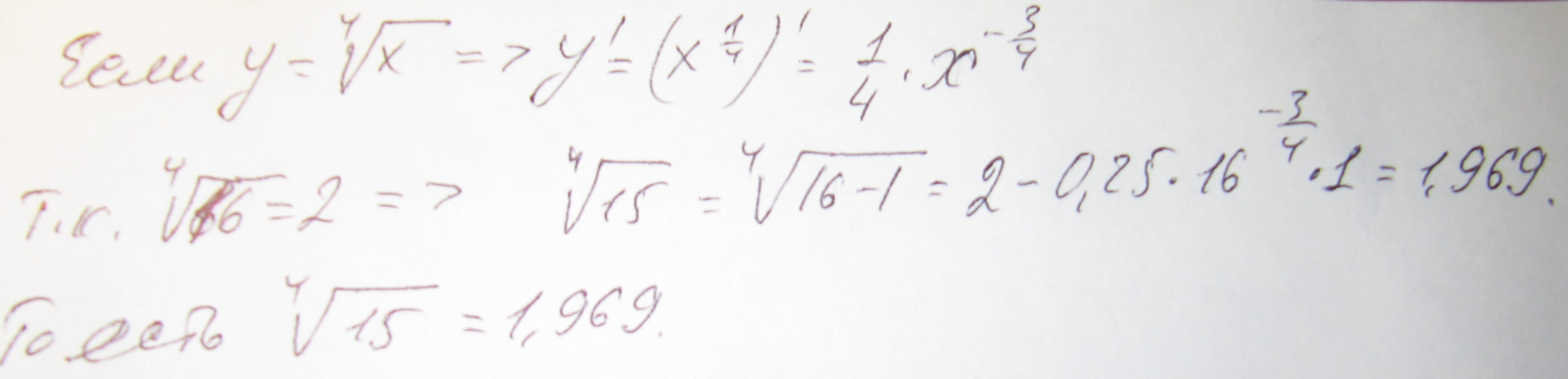
Решение во вложенном файле
Приложения:

Ответ дал:
0
Пишите, если ещё будут вопросы.
Вас заинтересует
7 лет назад
7 лет назад
9 лет назад
10 лет назад