Ответы
Ответ дал:
0
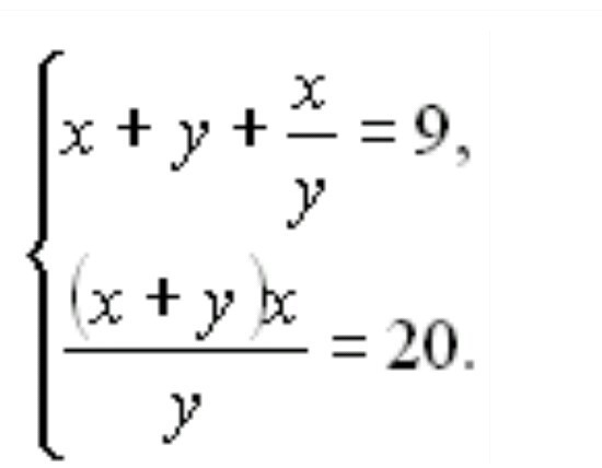
х+у=а, х/у=в
а+в=9
ав=20
а=4 или а=5
в=5 или в=4
х+у=4
х/у=5
6у=4
х=5у
у=2/3
х=10/3
Теперь для х+у=5, х/у=4
х=4у, 5у=5
х=4, у=1
Ответ: (10/3, 2/3), (4,1)
а+в=9
ав=20
а=4 или а=5
в=5 или в=4
х+у=4
х/у=5
6у=4
х=5у
у=2/3
х=10/3
Теперь для х+у=5, х/у=4
х=4у, 5у=5
х=4, у=1
Ответ: (10/3, 2/3), (4,1)
Вас заинтересует
7 лет назад
10 лет назад
10 лет назад
10 лет назад