Ответы
Ответ дал:
0
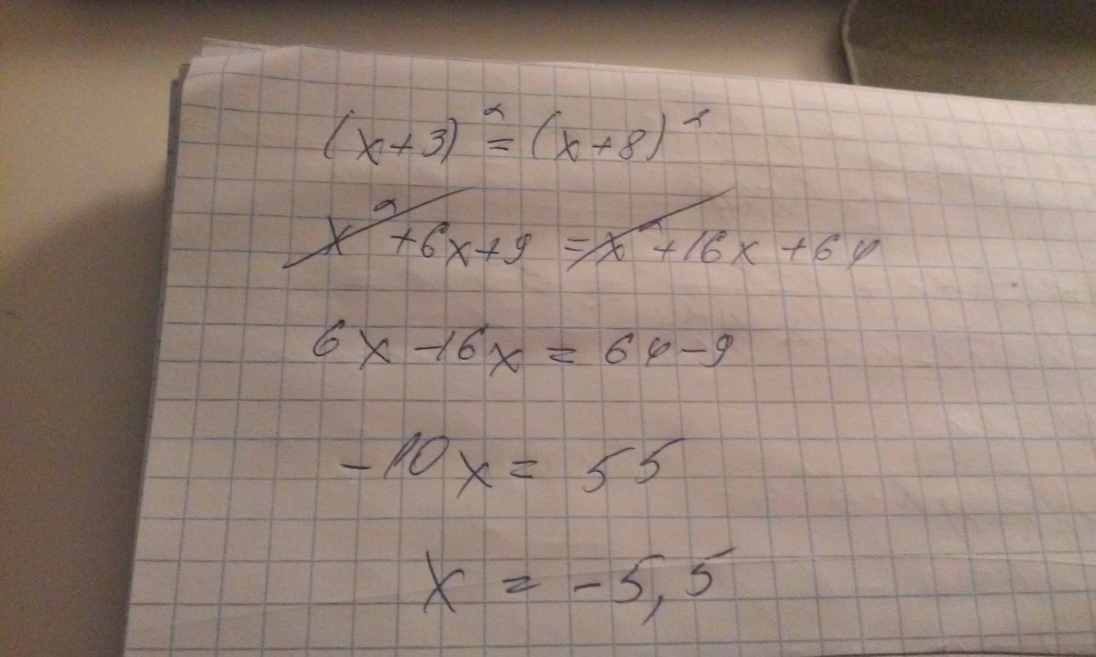
(Х+3)*(Х+3) = Х² + 3Х + 3Х +9
(Х+8)(Х+8) = Х² + 8Х +8Х +64
Х² + 6Х+9 =Х²+16Х +64
Х2+6Х+9 -Х2-16Х-64 = 0
-10Х-55 = 0
-10Х = 0+55
-10Х = 55
Х =55:(-10)
Х = - 5,5
(Х+8)(Х+8) = Х² + 8Х +8Х +64
Х² + 6Х+9 =Х²+16Х +64
Х2+6Х+9 -Х2-16Х-64 = 0
-10Х-55 = 0
-10Х = 0+55
-10Х = 55
Х =55:(-10)
Х = - 5,5
Ответ дал:
0
)))))))))))))))))))))))))))))))))))))))))))))))))))))))))))))))))))))))))))))))))))))))
Приложения:

Вас заинтересует
2 года назад
7 лет назад
7 лет назад
9 лет назад
9 лет назад