• Предмет: Алгебра
  • Автор: sazonowaptn
  • Вопрос задан 9 лет назад

Помогите пожалуйста решить предел (lim)
(Необходимо подробное решение)

Приложения:

Ответы

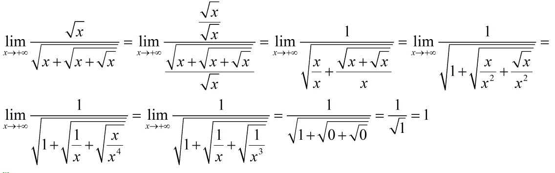
Ответ дал: Аноним
0
решение смотри во вложении
Приложения:
Ответ дал: sazonowaptn
0
Огромное спасибо!
Вас заинтересует