• Предмет: Математика
  • Автор: 5Апельсинчик5
  • Вопрос задан 9 лет назад

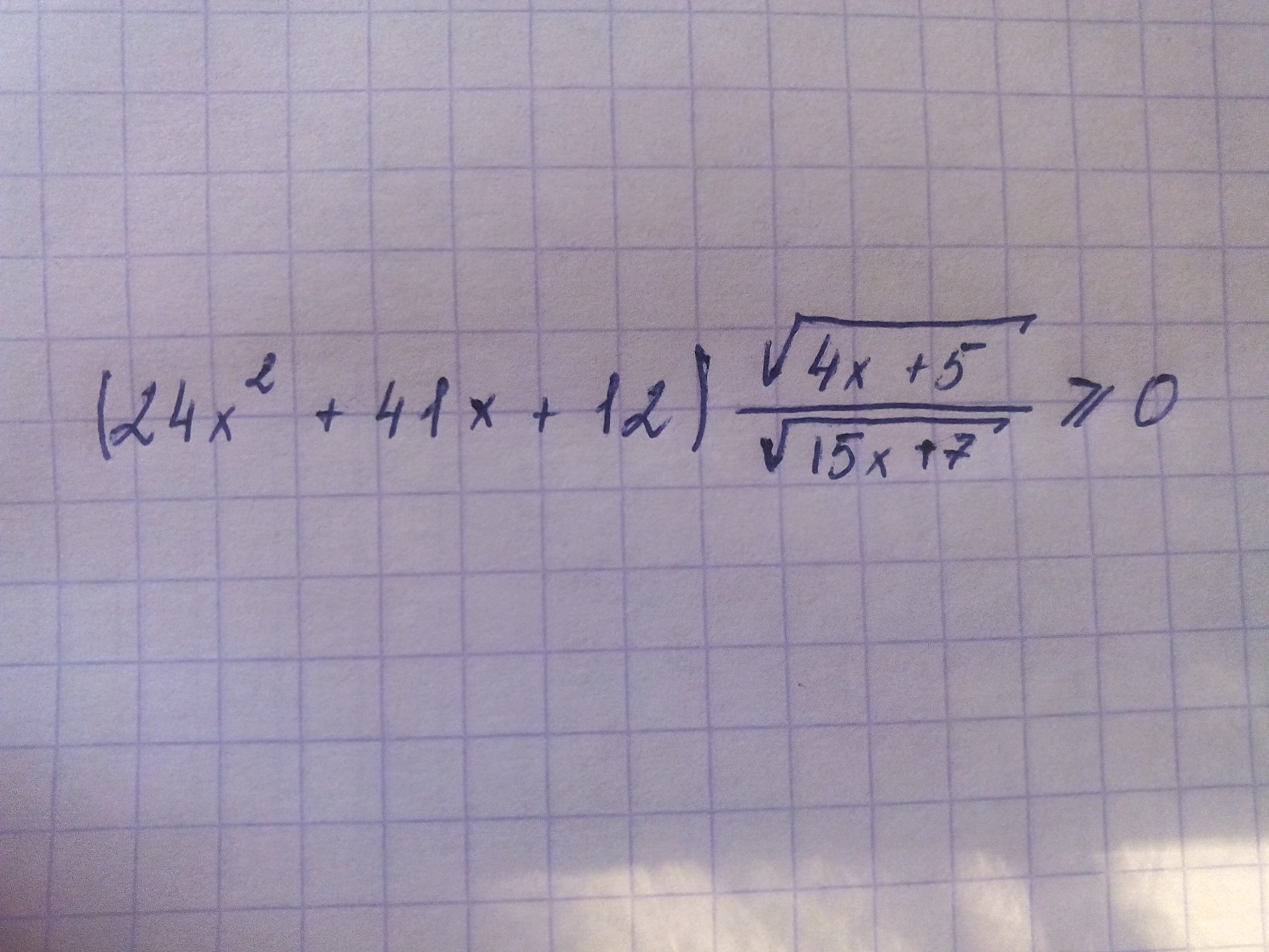
Помогите пожалуйста решить

Приложения:

Ответы

Ответ дал: chamomile03
0
(24x^2+41x+12) frac{ sqrt{4x+5} }{ sqrt{15x+7} }  geq 0

ОДЗ:
4x+5≥0
4x≥-5
x≥-1.25

15x+7>0
15x>-7
x>- frac{7}{15}

общее: x>- frac{7}{15}

Найдем нули функции:
24x^2+41x+12=0 \ D=41^2-4*24*12=1681-1152=529=23^2 \ x_1= frac{-41+23}{48}= - frac{18}{48}=-  frac{3}{8} \  x_2= frac{-41-23}{48}= - frac{64}{48}=-  frac{4}{3}  \  \ 4x+5=0 \ x=-1.25 \  \ 15x+7=0 \ x=- frac{7}{15}

 frac{24(x+ frac{3}{8} )(x+ frac{4}{3} ) sqrt{4x+5} }{ sqrt{15x+7} } geq 0

Решим неравенство методом интервалов и найдём решение, общее с ОДЗ:
  
       -                 -                    -                    -                  +         
                                    ////////////////////////////////////////////////////////
---------[-4/3]---------[-1.25]-----------(-7/15)----------[-3/8]---------->
                                                           \\\\\\\\\\\\\\\\

x∈[- frac{3}{8} ; +∞)

Вас заинтересует