• Предмет: Геометрия
  • Автор: Mila8class
  • Вопрос задан 9 лет назад

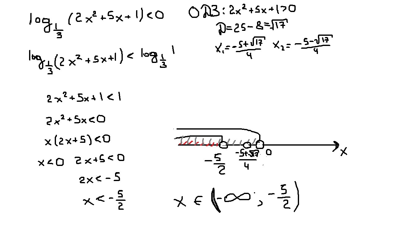
Решите логарифмическое неравенство

Приложения:

Ответы

Ответ дал: densi11
0
Думаю, что так.!Смотри скрин
Приложения:
Ответ дал: Mila8class
0
Огромное спасибо, завтра узнаю результат)
Ответ дал: densi11
0
про ОДЗ не уверен,ответ может быть другой
Ответ дал: crdd
0
а я думаю, что так:               
Приложения:
Вас заинтересует