• Предмет: Алгебра
  • Автор: Аноним
  • Вопрос задан 9 лет назад

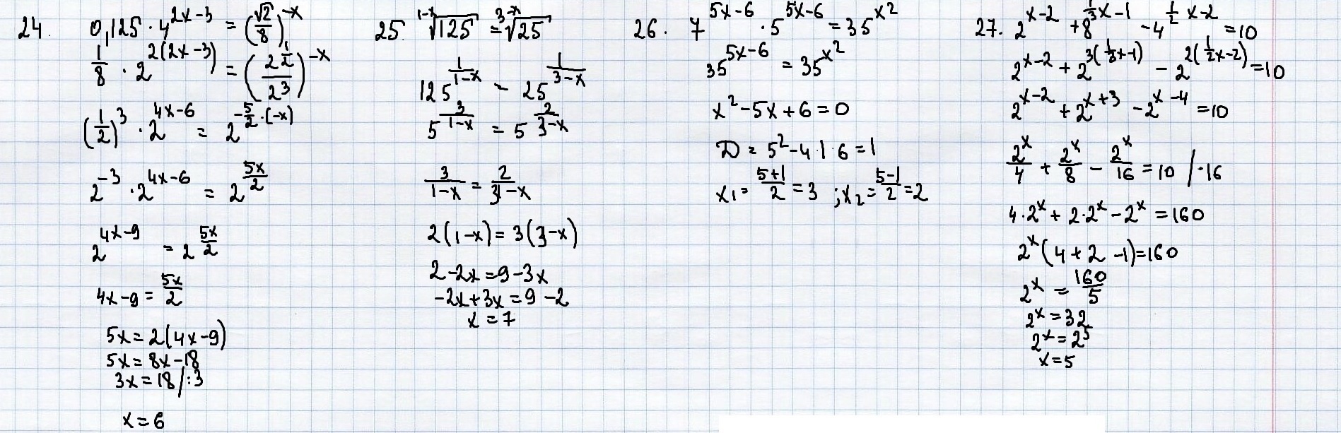
Решить показательные уравнения.

Приложения:

Ответы

Ответ дал: wejde
0
.........................
Приложения:
Вас заинтересует