• Предмет: Математика
  • Автор: даулет33
  • Вопрос задан 9 лет назад

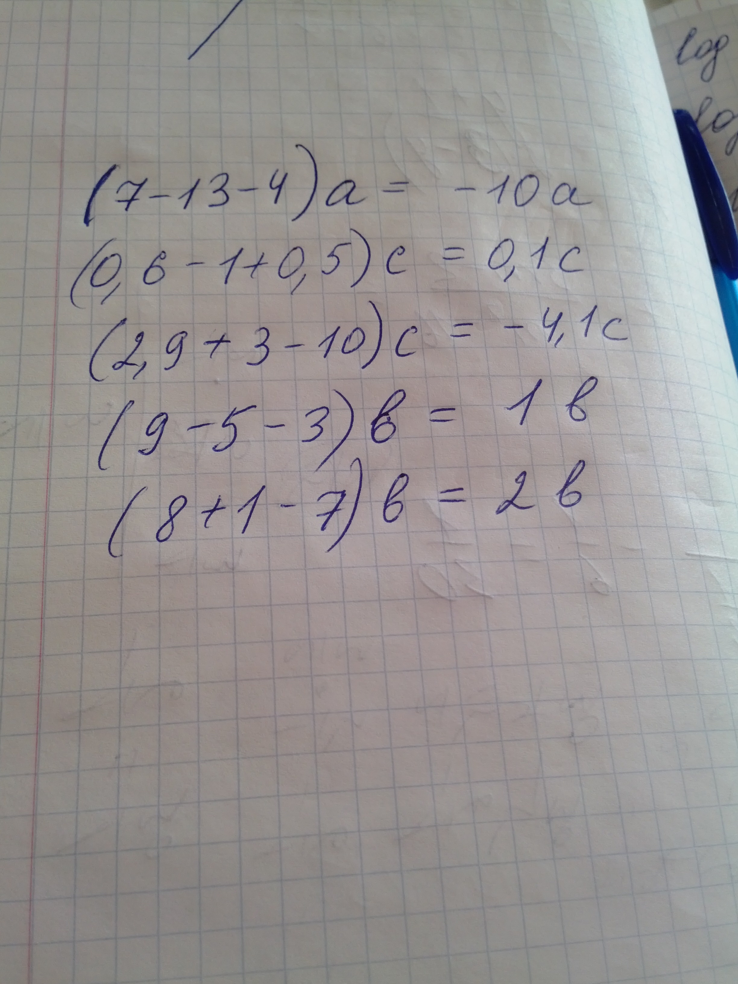
как решить пример 7а-13а-4а ; 0,6с-с+0,5с ; 2,9с+3с-10с ; 9б-5б-3б ; 8б+б-7б

Ответы

Ответ дал: Аноним
0
7а-13а-4а= -10а
0,6с -с + 0,5с= 0,1с
2,9с +3с-10с = -4,1с
9б-5б -3б =1б
8б + б -7б =2б
Приложения:
Ответ дал: даулет33
0
(8+4-7)а=
Ответ дал: Аноним
0
Да, так тоже можно делать, сначала числовые коэффициенты подсчитать, 5а будет.
Ответ дал: даулет33
0
спс
Вас заинтересует