Ответы
Ответ дал:
0
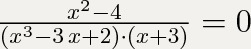
Если дробное выражение равно нулю, то значит числитель равен нулю. х^2-4=0
х1= -2
х2= 2
вроде так. ОДЗ еще. х^3-3x+2не равен 0
x+3 не равен 0. х не равен -3
х1= -2
х2= 2
вроде так. ОДЗ еще. х^3-3x+2не равен 0
x+3 не равен 0. х не равен -3
Вас заинтересует
2 года назад
2 года назад
7 лет назад
7 лет назад
10 лет назад
10 лет назад
10 лет назад