• Предмет: Математика
  • Автор: 13Angel13
  • Вопрос задан 9 лет назад

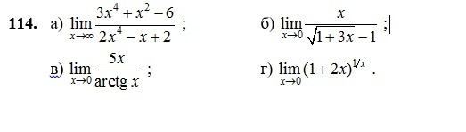
помогите пожалуйста, и по подробнее если можно, а то вообще не шарю =

Приложения:

Ответы

Ответ дал: Alinaa
0
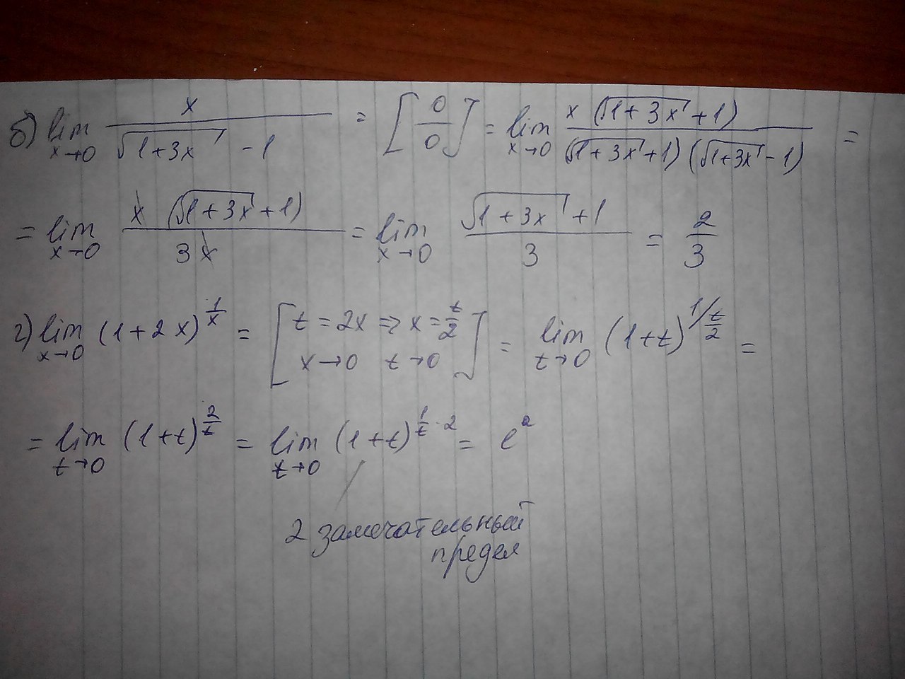
Если будут проблемы с пределами, пиши. С дифференциальными уравнениями тоже можешь обращаться)
Приложения:
Ответ дал: 13Angel13
0
хорошо, в этом задании мой косяк есть, не использовать правило Лопиталя)
Вас заинтересует