Стороны треугольника = 29см,25см и 6см. вычислите длину окружности, вписанной в треугольник.
Нужен полный ответ с решением.
Ответы
Ответ дал:
0
r = Sр
р = Р2
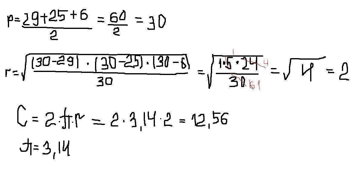
Р = а+в+с = 29+25+6 = 60
р = 602= 30
r = √(((p-a)(p-b)(p-c))/p)= √(((30-29)(30-25)(30-6))/30)= √((1*5*24)30)=√(12030)=√4=2
C = 2Пr = 2*3,14*2
C=12,56
р = Р2
Р = а+в+с = 29+25+6 = 60
р = 602= 30
r = √(((p-a)(p-b)(p-c))/p)= √(((30-29)(30-25)(30-6))/30)= √((1*5*24)30)=√(12030)=√4=2
C = 2Пr = 2*3,14*2
C=12,56
Приложения:
Ответ дал:
0
Окей....
Ответ дал:
0
А почему на фото один ответ а на заеси втарой
Ответ дал:
0
А не все ок это я не туда глянул
Ответ дал:
0
я просто ниже уточнила, что пи=3,14
Ответ дал:
0
Спс
Вас заинтересует
2 года назад
7 лет назад
10 лет назад
10 лет назад
10 лет назад