• Предмет: Математика
  • Автор: kokokomokoko1
  • Вопрос задан 9 лет назад

МАТЕМАТИКА!!!! Помогите пожалуйста

4 sin^2 x -2=0

Ответы

Ответ дал: ylasol
0

-4 sin 0,5x = 0

sin 0,5x = 0

0,5х = πn

x = 2πn

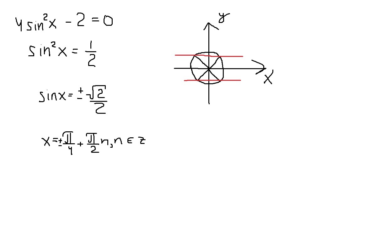
Ответ дал: densi11
0
Смотрет скрин
---------------------
Приложения:
Вас заинтересует