Ответы
Ответ дал:
0
#1
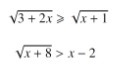
√(3 + 2x) ≥ √(x + 1);
{3 + 2x ≥ x + 1,
{x ≥ -1,5,
{x ≥ -1;
{x ≥ -2,
{x ≥ -1,5,
{x ≥ -1.
x ≥ -1.
Ответ: x ∈ [-1; +∞).
#2
√(x + 8) > x - 2;
{x + 8 > x² - 4x + 4,
{x ≥ -8;
{x² - 5x - 4 < 0,
{x ≥ -8;
D = 25 + 16 = 41,
x = (5 ± √41)/2.
{[x > (5 - √41)/2,
{[x < (5 + √41)/2,
{x ≥ -8;
{x < (5 + √41)/2,
{x ≥ -8.
Ответ: x ∈ [-8; (5 + √41)/2).
√(3 + 2x) ≥ √(x + 1);
{3 + 2x ≥ x + 1,
{x ≥ -1,5,
{x ≥ -1;
{x ≥ -2,
{x ≥ -1,5,
{x ≥ -1.
x ≥ -1.
Ответ: x ∈ [-1; +∞).
#2
√(x + 8) > x - 2;
{x + 8 > x² - 4x + 4,
{x ≥ -8;
{x² - 5x - 4 < 0,
{x ≥ -8;
D = 25 + 16 = 41,
x = (5 ± √41)/2.
{[x > (5 - √41)/2,
{[x < (5 + √41)/2,
{x ≥ -8;
{x < (5 + √41)/2,
{x ≥ -8.
Ответ: x ∈ [-8; (5 + √41)/2).
Вас заинтересует
2 года назад
2 года назад
7 лет назад
10 лет назад
10 лет назад
10 лет назад