Ответы
Ответ дал:
0
Найдем вершину параболы
х^2-2x+1-3=0
x^2-2x-2=0
x0=2/2=1
y0(x0)=1-2-2= -3
следовательно область значения [-3;+бесконечность)
х^2-2x+1-3=0
x^2-2x-2=0
x0=2/2=1
y0(x0)=1-2-2= -3
следовательно область значения [-3;+бесконечность)
Ответ дал:
0
разве функция не может иметь значения от минус бесконечности до плюс бесконечности?
Ответ дал:
0
Парабола нет
Ответ дал:
0
у нее есть предел, так как имеет предел (вершину )
Ответ дал:
0
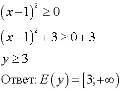
Не смогла написать маленькие цифры, поэтому так.
Приложения:

Вас заинтересует
2 года назад
2 года назад
7 лет назад
7 лет назад
9 лет назад
9 лет назад
10 лет назад