• Предмет: Математика
  • Автор: newt1906201
  • Вопрос задан 9 лет назад

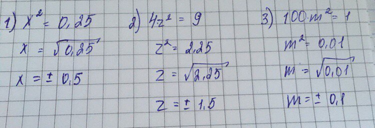
Решите пожалуйста уравнения:
1) x^2=0,25:
2) 4z^2=9:
3) 100m^2=1

Ответы

Ответ дал: upucka
0
прикреплено  фото...............
Приложения:
Вас заинтересует