Из двух городов А и Б одновременно вышли навстречу друг другу два пешехода. Когда они встретились, то рассчитали, что первому требуется еще 4 ч 30 м что бы дойти до города Б а второму еще 2 часа что бы дойти до города А. Определите скорость пешеходов, если расстояние между А и Б равно 30км.
Ответы
Ответ дал:
0
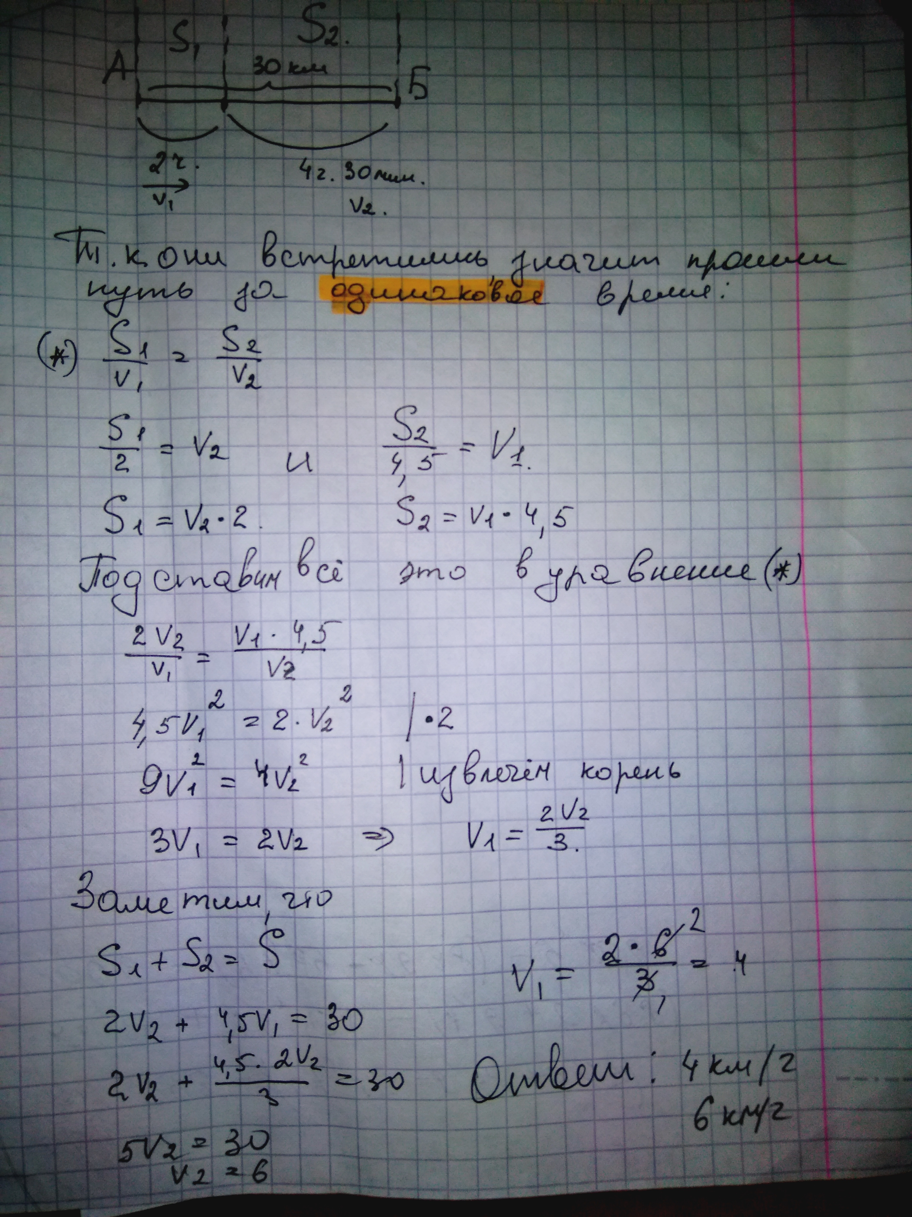
Нарисуем сначала схему.
Второй шаг - составим отношение пропорциональности. Вот смотрите : оба пешехода встретились,вышли одновременно и встретились значит через одно и то же время. Время это путь делить на скорость. Так как ни то ни то не известно запишем пока что это символами.
Далее выразили скорости, нам ведь их нужно найти. Скорость это путь деление на время. Весь путь мы разделили на два отрезка. Который первый прошел и который второй прошел. Слава Богу,хоть время нам сказали! Ну вот и запишем это... S1/2=v2 и аналогично v1 выразим, из этих уравнений выражаем путь.
Подставляем это а первую пропорцию и решаем уравнение. Нам удается выразить v1.
Заметим,что весь путь это сумма отрезков S1 +S2. И мы знаем,что весь путь 30 км. И о счастье! У нас есть выраженный путь через скорость, а также скорость v1 выраженная через скорость v2. Получили однородное линейное уравнение и все у нас красивенько решилось.
Второй шаг - составим отношение пропорциональности. Вот смотрите : оба пешехода встретились,вышли одновременно и встретились значит через одно и то же время. Время это путь делить на скорость. Так как ни то ни то не известно запишем пока что это символами.
Далее выразили скорости, нам ведь их нужно найти. Скорость это путь деление на время. Весь путь мы разделили на два отрезка. Который первый прошел и который второй прошел. Слава Богу,хоть время нам сказали! Ну вот и запишем это... S1/2=v2 и аналогично v1 выразим, из этих уравнений выражаем путь.
Подставляем это а первую пропорцию и решаем уравнение. Нам удается выразить v1.
Заметим,что весь путь это сумма отрезков S1 +S2. И мы знаем,что весь путь 30 км. И о счастье! У нас есть выраженный путь через скорость, а также скорость v1 выраженная через скорость v2. Получили однородное линейное уравнение и все у нас красивенько решилось.
Приложения:

Вас заинтересует
2 года назад
2 года назад
7 лет назад
9 лет назад
9 лет назад
10 лет назад
10 лет назад