Ответы
Ответ дал:
0
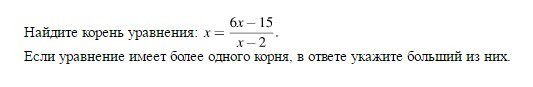
Умножим, используя свойство пропорции - произведение крайних членов равно произведению внутренних:
x(x-2)=6x-15
x²-2x-6x+15=0
x²-8x+15=0
D=8²-4*1*15=4
x=(-8+2)/2=-6/2=-3
x=(-8-2)/2=-10/2=-5
Ответ: х=-3
x(x-2)=6x-15
x²-2x-6x+15=0
x²-8x+15=0
D=8²-4*1*15=4
x=(-8+2)/2=-6/2=-3
x=(-8-2)/2=-10/2=-5
Ответ: х=-3
Ответ дал:
0
у вас небольшая ошибочках1 и х2 = -b=+-корень из D,
Ответ дал:
0
значит не -8, а просто 8
Ответ дал:
0
спасибо
Вас заинтересует
2 года назад
7 лет назад
7 лет назад
10 лет назад
10 лет назад
10 лет назад