• Предмет: Алгебра
  • Автор: Аноним
  • Вопрос задан 9 лет назад

Помогите, пожалуйста, с решением!
________
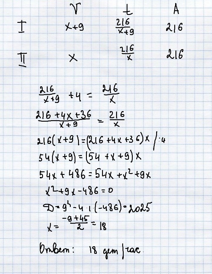
Первый рабочий за час делает на 9 деталей больше, чем второй, и выполняет заказ, состоящий из 216 деталей, на 4 часа быстрее, чем второй рабочий, выполняющий такой же заказ. Сколько деталей в час делает второй рабочий?

Ответы

Ответ дал: wejde
0
..........................................
Приложения:
Ответ дал: Аноним
0
Спасибо большое!
Вас заинтересует