Ответы
Ответ дал:
0
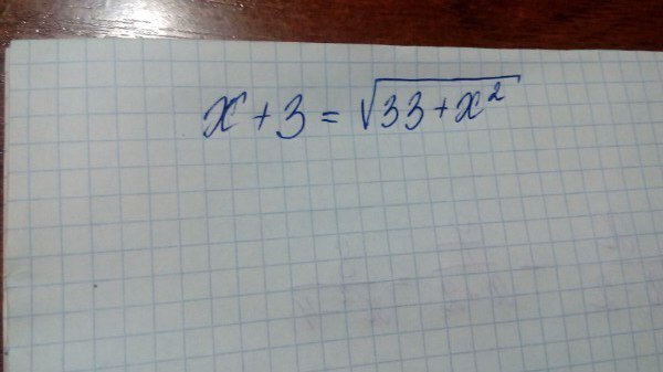
x+3=
I↑²

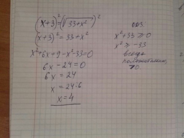
6x=24
x=4
6x=24
x=4
Ответ дал:
0
ОДЗ, на мой взгляд, можно и не прописывать... Итак понятно, что выр-е под корнем будет >0 всегда.
Ответ дал:
0
)))
Ответ дал:
0
смотри фото..............................................
Приложения:
Ответ дал:
0
спааасибо♥
Ответ дал:
0
))))))))))
Вас заинтересует
2 года назад
2 года назад
7 лет назад
7 лет назад
10 лет назад
10 лет назад