Ответы
Ответ дал:
0
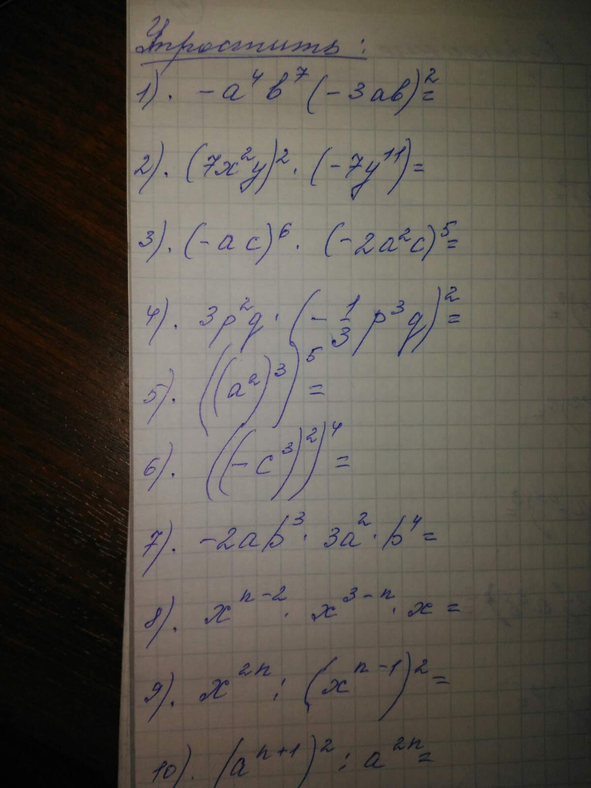
1) -а^4в^7(3ав)^2
-а^4в^7×9а^2в^2
-9а^6в^9
2) -7×(7х^2у)^2×у^11
-7×49х^4у^13
-343х^4у^13
-а^4в^7×9а^2в^2
-9а^6в^9
2) -7×(7х^2у)^2×у^11
-7×49х^4у^13
-343х^4у^13
Вас заинтересует
3 года назад
3 года назад
7 лет назад
7 лет назад
10 лет назад
10 лет назад
10 лет назад
10 лет назад