• Предмет: Алгебра
  • Автор: valeriauadyshe
  • Вопрос задан 9 лет назад

Помогите пожалуйста
Решите!!!

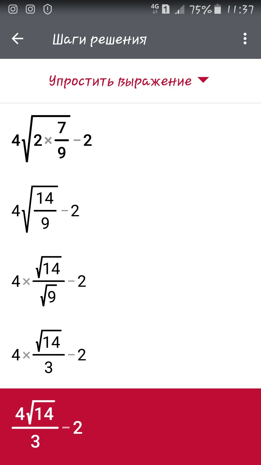
Приложения:

Ответы

Ответ дал: Riki2002
0
Вот решение кроме одного уравнения я не знаю, как его решить
Приложения:
Вас заинтересует