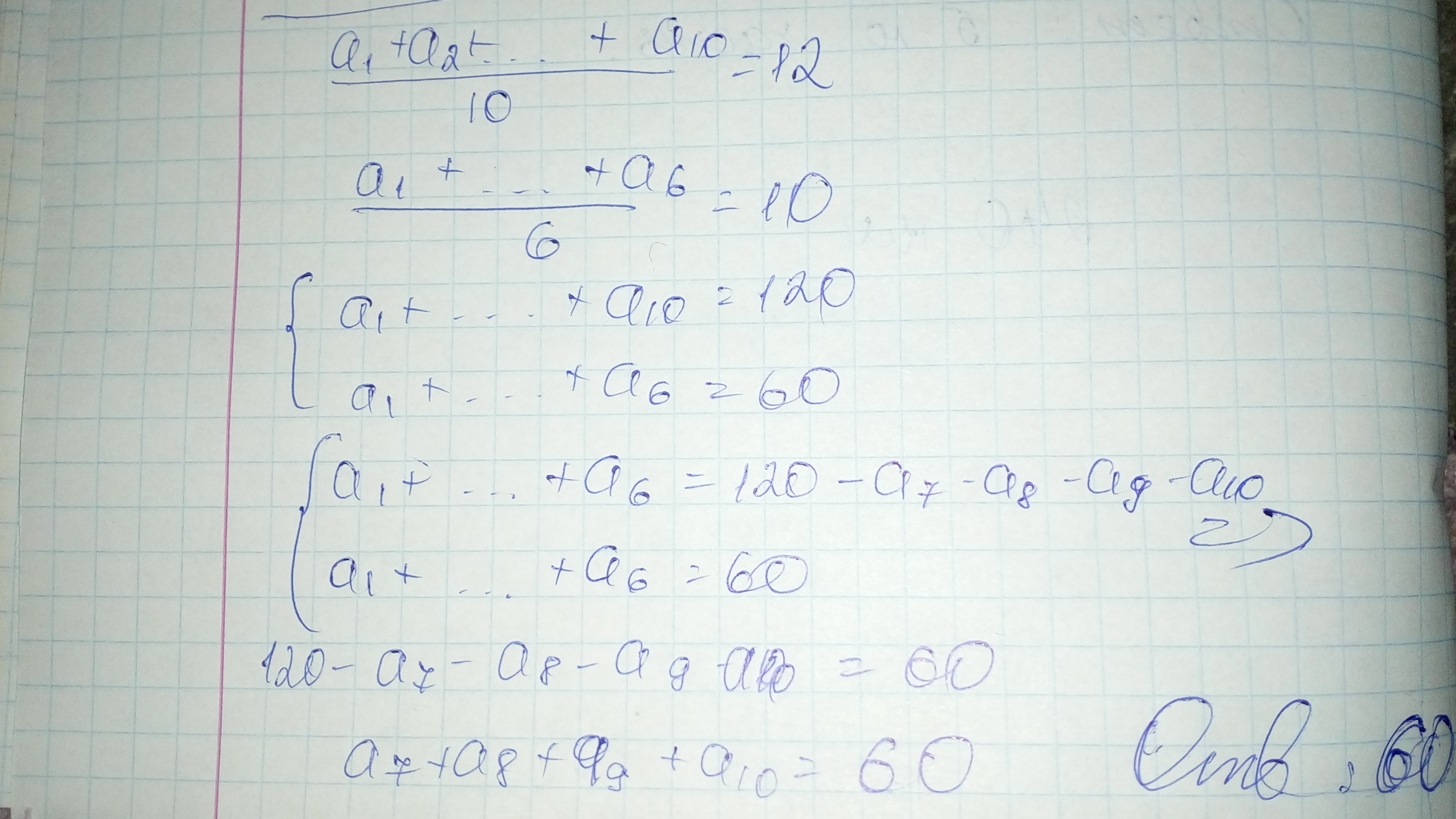
среднее арифметическое десяти чисел равно 12. Среднее арифметическое первых шести из этих чисел равно 10. Найдите среднее арифметическое оставшихся четырёх чисел.
Помогите
Ответы
Ответ дал:
0
Извиняюсь за "грязь")))
Приложения:

Ответ дал:
0
А можете ещё решить вот это?
Ответ дал:
0
Представить в виде многочлена 1) (2a+3b+4c)^2 2) (2a-3b+c^2-d)^2
Ответ дал:
0
Могу по новому задать вопрос
Вас заинтересует
2 года назад
2 года назад
7 лет назад
7 лет назад
9 лет назад
9 лет назад
10 лет назад