Ответы
Ответ дал:
0
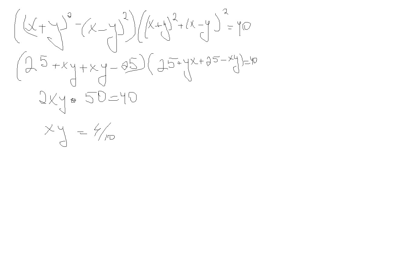
x^2+y^2 = 25
(x+y)^4- (x-y)^4 = 40
xy - ?
___________
((x+y)^2-(x-y)^2)((x+y)^2+(x-y)^2) = 40
(x^2+2xy+y^2-x^2+2xy-y^2)(x^2+2xy+y^2+x^2-2xy+y^2) = 40
4xy(2x^2+2y^2) = 40
8xy(x^2+y^2) = 40
8xy*25 = 40
xy = 40/8/25 = 5/25 = 1/5 =0.2
(x+y)^4- (x-y)^4 = 40
xy - ?
___________
((x+y)^2-(x-y)^2)((x+y)^2+(x-y)^2) = 40
(x^2+2xy+y^2-x^2+2xy-y^2)(x^2+2xy+y^2+x^2-2xy+y^2) = 40
4xy(2x^2+2y^2) = 40
8xy(x^2+y^2) = 40
8xy*25 = 40
xy = 40/8/25 = 5/25 = 1/5 =0.2
Ответ дал:
0
Спасибо огромное!
Ответ дал:
0
решение в файле с пэйнта
Приложения:

Ответ дал:
0
Тоже большое спасибо!
Вас заинтересует
2 года назад
2 года назад
7 лет назад
9 лет назад
9 лет назад
10 лет назад