• Предмет: Математика
  • Автор: RxisRxfikov
  • Вопрос задан 9 лет назад

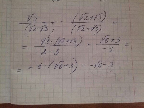
√3
------------
√2 - √3

Ответы

Ответ дал: Аноним
0
 frac{ sqrt{3} }{ sqrt{2} - sqrt{3} } = frac{ sqrt{3}*(sqrt{2} + sqrt{3}) }{ (sqrt{2} - sqrt{3})*(sqrt{2} + sqrt{3}) }=  frac{ sqrt{6}+3 }{2-3}  =- sqrt{6}-3
Ответ дал: RxisRxfikov
0
не что не понимаю
Ответ дал: Аноним
0
вроде я написал то ,что и стоит вверху (который вы поняли и считали лучшым ответом).
Ответ дал: Аноним
0
для вас важно, какой ответ лучше?
Ответ дал: Аноним
0
ну если б я знала, то попросила ее вам поставить, мне без разницы))
Ответ дал: Аноним
0
молодец)))
Ответ дал: Аноним
0
фото/////////////////////////////////////////
Приложения:
Вас заинтересует