Ответы
Ответ дал:
0
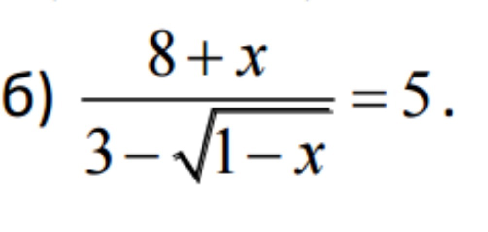
ОДЗ
{1-x≥0⇒x≤1
{3-√(1-x)≠0⇒√(1-x)≠3⇒1-x≠9⇒x≠-8
x∈(-∞;-8) U (-8;1]
8+x=15-5√(1-x)
5√(1-x)=7-x
возведем в квадрат
25(1-x)=49-14x+x²
49-14x+x²-25+25x=0
x²+11x+24=0
x1+x2=-11 U x1*x2=24
x1=-8 ∉ОДЗ
x2=-3
Ответ х=-3
{1-x≥0⇒x≤1
{3-√(1-x)≠0⇒√(1-x)≠3⇒1-x≠9⇒x≠-8
x∈(-∞;-8) U (-8;1]
8+x=15-5√(1-x)
5√(1-x)=7-x
возведем в квадрат
25(1-x)=49-14x+x²
49-14x+x²-25+25x=0
x²+11x+24=0
x1+x2=-11 U x1*x2=24
x1=-8 ∉ОДЗ
x2=-3
Ответ х=-3
Ответ дал:
0
Неттт
Вас заинтересует
3 года назад
7 лет назад
7 лет назад
10 лет назад
10 лет назад