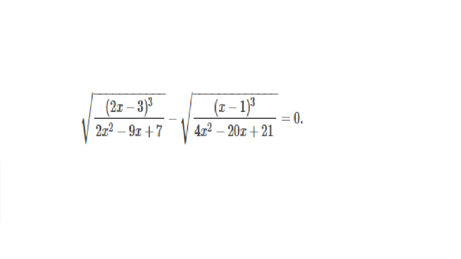
Ответы
Ответ дал:
0
*********************************
Приложения:



Ответ дал:
0
- + - +
---------[1]------------(1.5)-----------(3.5)---------------
//////////////// /////////////////////
ОДЗ:
∅ ∅ ∅
Ответ:
Приложения:



Вас заинтересует
2 года назад
2 года назад
7 лет назад
9 лет назад
9 лет назад
10 лет назад