Ответы
Ответ дал:
0
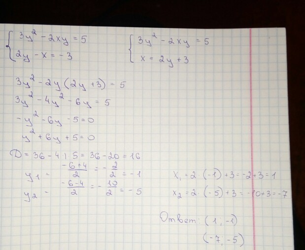
Из 2 выражения найдем, х=2у+3. Подставим в 1-е.
3у²-2у(2у+3)=5
3у²-4у²-6у=5
-у²-6у=5
у²+6у+5=0
Корни: -1, -5.
Тогда 2 варианта:
I)у=-1
Подставляем вх=2у+3
х=-2+3=1
II)y=-5
х=2у+3
x=-10+3=-7
Ответ: (-7;-5)(1;-1)
3у²-2у(2у+3)=5
3у²-4у²-6у=5
-у²-6у=5
у²+6у+5=0
Корни: -1, -5.
Тогда 2 варианта:
I)у=-1
Подставляем вх=2у+3
х=-2+3=1
II)y=-5
х=2у+3
x=-10+3=-7
Ответ: (-7;-5)(1;-1)
Ответ дал:
0
ответ ответ ответ ответ
Приложения:
Вас заинтересует
2 года назад
2 года назад
7 лет назад
7 лет назад
10 лет назад
10 лет назад