• Предмет: Алгебра
  • Автор: zar88
  • Вопрос задан 9 лет назад

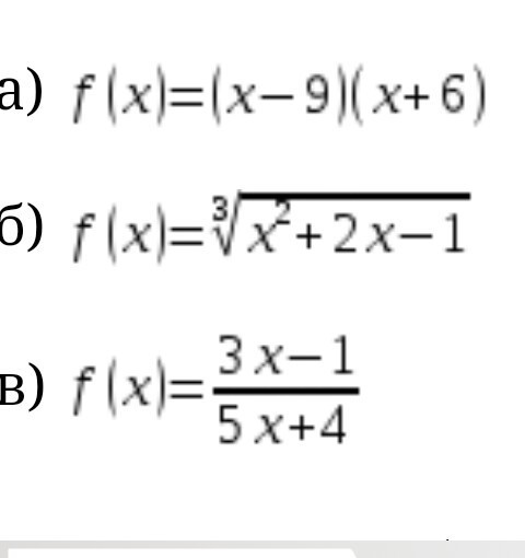
Вычислить производные функции

Приложения:

Ответы

Ответ дал: Аноним
0
фото///////////////////////////////////////////////////////////
Приложения:
Вас заинтересует